
今天,上海統將實業有限公司的小編就分享下昆西空壓機總部技術工程師講解的關于何為空壓機效率。此次分享分為下篇。
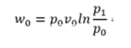
螺桿空壓機的壓縮過程實際也是一個能量的轉換過程,也可以用效率的方式表達。傳統計算螺桿空壓機效率的方式是理論絕熱壓縮功/實際電耗,這種計算方式是錯誤的。理論絕熱壓縮功并不是能量轉換的結果,在壓縮過程中,系統對外排出的熱量等值于系統輸入的電能,但是并不是說電能全部轉換為熱能,其轉換的重要部分是壓縮空氣對外的做功能力,也就是對外所作的膨脹功, 工程熱力學上稱為㶲,又叫有效能,英文名稱為exergy,數值上等于

其中p1是壓縮后的壓力,p0是對外做功的環境壓力,v0是環境壓力下的空氣流量。獲得該壓力等溫壓縮功耗也恰好是該數值。那按成果/成本,也就是對外可做功/壓縮總功耗,這個就是能源效率,業內稱為輸功效率,也稱㶲效率。比如比功率為 6.0kw/m3/min,按準確單位應該是360kJ/m3,按前文公式計算7bar(表壓) 1m3的壓縮空氣對外可做功為208KJ,那么輸功效率為 208/360=57.8%,如果是8bar(表壓)的1m3的壓縮空氣對外可做功為220KJ,SER為6.0的輸功效率為220/360=61.1%,實際上8bar的比功率做到6.0是非常難的。不同壓力下的壓縮空氣如果用比功率來衡量,并不能比較能源效率高低,但是輸功效率就可以,因為輸功效率已經包含了壓力的因素在內。比如5bar下SER為5.0 kw/m3/min,那么輸功效率是60%,比8bar下的6.0 kw/m3/min效率要低。
輸功效率會作為一個概念在越來越多的應用中體現,2018年頒布的行業標準《壓縮空氣站能效分級指南》就采用了該概念。